Scopri come i modelli generativi si deteriorano quando vengono addestrati sui dati che generano...
Machine Learning
Ultime Notizie dal mondo del Machine Learning
Che tu stia eseguendo un’analisi esplorativa dei dati o costruendo un sistema ML complesso,...
Guida pratica per creare da zero un modello linguistico per attività MLM utilizzando la...
Abbiamo eseguito un esperimento da 12.000 dollari per testare il costo e le prestazioni...
Immagine dell’autore Per prima cosa utilizziamo quelli del nostro progetto principale ramo per memorizzare...
Sei mai stato ansioso di essere chiamato in causa per errori nella tua analisi?...
I costi nascosti dello sviluppo che contano davvero ETutti sono consapevoli della crisi climatica...
Hot-spot hipster a Budapest. Un framework generico che utilizza OpenStreetMap e DBSCAN Spatial Clustering...
Nell’agosto 2023, Google ha annunciato l’aggiunta di un servizio di qualità dell’aria al suo...
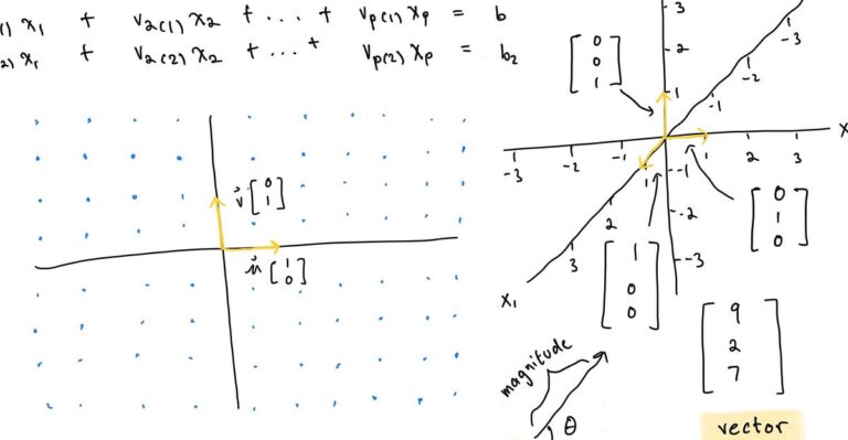
Equazioni vettoriali e span Prefazione Bentornati al terzo saggio della mia serie in corso...
