Una spiegazione dell'algoritmo di backpropagation attraverso il tempo 8 minuti di lettura UN· 7...
Machine Learning
Ultime Notizie dal mondo del Machine Learning
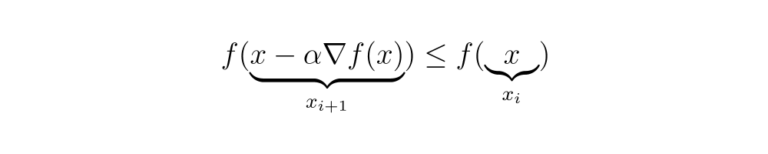
Questo algoritmo è noto come “Gradient Descent” o “Metodo della discesa più ripida”, essendo...
Come ottenere informazioni dettagliate sulla robustezza/affidabilità del modello, sull'adeguatezza delle dimensioni dei dati di...
Consigli e suggerimenti che mi hanno aiutato a ottenere la mia prima promozione come...
Nadam è uno degli ottimizzatori più capaci nel Deep Learning. Analizziamone i calcoli e...
Strategie e intuizioni da entrambi i lati del tavolo delle interviste Risolvere la progettazione...
Esploriamo nuovi metodi di apprendimento della rappresentazione video dotati di capacità di ragionamento di...
Importa librerie Python, manipola e genera tabelle SQL e altro ancora, il tutto senza...
Codifichiamo esempi utilizzando Altair, Bokeh, Plotly, Pandas Plot e Matplotlib, per illustrare i pro...
Esplorare cinque algoritmi per bilanciare il compromesso guadagno/apprendimento Immagine dell'autore Il mio obiettivo è...
